Researching Clouds from the Safety of the Great Indoors
I was ready to take on my second year as a Laidlaw scholar when disaster struck, the coronavirus pandemic has made my project no longer feasible. At first, I was panicked and confused. Where will I work? What will I do to continue my work? How will all this be done without proper equipment? These were some of the thoughts streaming through my head as June 1st approached.
After much deliberation I decided I was going to attempt something I had never done before. I was going to create my very own cloud!
What are clouds?
Clouds are collections of water vapour that deposit at altitude as a result of thermodynamic processes that occur in the atmosphere. More precisely, when water evaporates it forms pockets of wet air (air mixed with water vapour) that has a reduced density with respect to the air around it. Since dry air is made up of exclusively nitrogen and oxygen molecules in the ratio 8:2, while wet air is a mixture of water vapour, nitrogen and oxygen in varying ratios. As water molecules contain less mass that nitrogen and oxygen, a volume of wet air will have less mass within it than the corresponding volume of dry air. These density differences allow for buoyant effects to take hold. Although a thorough understanding of the following mechanism is not required, it does shed some light on the complexity of computational fluid modelling:

We can view the air in our atmosphere as a continuous fluid which we can model with the Navier-Stokes Equation, this is essentially Newton’s 2nd Law of motion for a fluid. In our case, the force imbalance comes from internal pressure variations, natural diffusive motions and buoyant effect caused by density variations in the fluid. This mechanism will ultimately drive the convective motion of our plume of wet air and the air surrounding it.
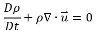
A point needs to be made about the underlying background state of the atmosphere as there exists some natural gradation in thermodynamic variables as we ascend in altitude. Usually, we expect the atmosphere to have humidity and density gradients that consist of a well-mixed lower region followed by a steep drop off after a certain point called the dewpoint. In this region of the atmosphere, the pressure and temperatures has dropped to a level where water vapour turns to liquid which creates the familiar mist, we call clouds. What is interesting is that as water vapour condenses it releases heat, known as latent heating, which generates further convection, and this is what cause the vertical structures in some well-known cloud types. This effect has been included in the model in the buoyancy variable as two independent terms:
![]()
The first part is the buoyancy due to the water vapour reducing the density of the fluid and the second term is accounting for the condensational heating after a certain scale height H. All of this together allows for a crude, but effective demonstration of how atmospheric convection is generated and drives cloud formation.
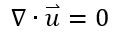
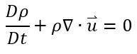
One of the most important conditions that needs to be enforced is that of mass conservation. This principle has its roots in experiments and is an assumption of fluid mechanics. It states that mass is neither created nor destroyed, only moved from one location to another. This condition is enforced via an equation called the continuity equation:

In words this means; any local variation in density of a fluid is due to a net flow of fluid in or out of our system. Generally, if mass is conserved, the above equation must also be obeyed. The next condition we impose is not really for realism but more for simplification of the mathematics. We now impose that the fluid is incompressible, this means that a fluid particle will retain its density value as it moves through the flow and implies that the first term the above equation is zero. This produces the following limiting condition for the velocity field:
![]()
This is known as the incompressibility condition for a mass-conserving flow. It can be interpreted as there being as much fluid flowing into the system as there is out of the system, thus volume is conserved. The beauty of this simple condition is that it exactly enforces mass conservation and incompressibility simultaneously.
How does a computer model a cloud?
With great difficulty! However, with some patience and perseverance one can do it. To start with, we need to translate the above mentioned Navier-Stokes equation into the language that the computer speaks. The computer can only deal with discrete bits of data so instead of a continuous domain where the equation is solved, we need a discretised set of grid nodes over which the equation is solved and values placed at each grid node. Essentially what we will have is a set of grid points which contain all the information - like pressures and velocities – and nothing in between. This also means that we need to make the mesh of nodes relatively fine if we want to resolve any detail accurately! Finer grids equal more nodes and more nodes mean more computation! This is a headache that I have battled with these past five weeks and unfortunately there is not much you can do without access to a NASA scale computer! So there had to be some compromises between accuracy and time which I think is forgivable. Now, at this point I ran the code only to find that it was not working at all! The next problem was due to pressure-velocity decoupling which is a result of checker-board pressures on the nodes. This is resolved by staggering the grids and having multiple grids for different variables.
I used a well-known method for implementing both the Navier-Stokes and incompressibility equations, known as the semi-implicit method for pressure linked equations (or SIMPLE) which works as follows:
- We use the current velocity field (if this is the first iteration, the initial velocity field is used) and progress it forward in time excluding the pressure contribution.
- Next, we impose the incompressibility condition and solve for a pressure field that satisfies it using a technique like Successive Over-Relaxation (or SOR).
- This pressure field is used to correct the velocity field such that it satisfies the incompressibility condition.
- Repeat 1 through 3 until max time step is reached.
This method iteratively solves for each of the properties (like pressure) at each grid node for each time step. Then we can plot the grid values of each property using a contour plot, which assigns a colour based on the value of the node relative to the data sets minimum and maximum. I have to say these plots produce some beautiful images and I hope to be able to animate them in the future!
Finally! On the final week I was able to produce a working example within my model. It clearly shows a beautiful vortex ring with strong convective currents shown in the streamlines. Although the model lacks a high level of detail in the cloud formation process, it demonstrates the feasibility of simple convection models. If there was more time, different aspects of the model could be expanded upon, including; adding precipitation to remove liquid water from the system, extending the model to three dimensions to allow for increased complexity, and adding periodic boundary conditions to assess the effects of uniform wind shears to name a few. The list of factors that go into cloud formation is vast and intricate which is part of the wonder of this topic and is definitely a very active area in the academic environment. I hope this small insight into the field has shed some light on what simple computational models can achieve and how clouds play a crucial role in the grand scheme of atmospheric processes.
Uncertain times, ever changing plans and Leadership during global crises
There is no over-exaggerating the situation of the last six months. These are indeed unprecedented times for all of us and we all had to adapt in many ways to a new way life. I was initially going to continue my project editing and refining an addition I had made to my supervisor’s supercomputer code; however, the virus had made access to it impossible. I learned that research never goes to plan and shifting topics is a fact of life. I feel this experience has made me a more resilient person; it has made me more welcoming of change. I feel now, with this experience, I have learned a great deal about self-leadership, the ability to motivate yourself in isolation and to persevere when things do not go to plan. One thing I found very useful was consistently trying to keep my goals minimal in scale and incremental in step as this helped me achieve more, with bursts of inspiration after each step forward. I feel this ability to rely on oneself for both inspiration and strength is an important personal quality that can always be tested and improved. This skill will naturally translate to better outward leadership potential as confident and strong leaders are exceptional sources of morale. It also is a good practice of being mindful of how your own reactions have impact as working in isolation forces you to reflect more on your own internal character.
I would like to end this blog by saying thank you to Lord Laidlaw and the Laidlaw Team for providing me with this amazing opportunity, I have learned so much and I feel my experience over the last two years will have a lasting positive impact on my future. I would also like to thank my fellow Laidlaw cohort for their support and friendship, it has really been a pleasure to work with you all!
General Sources for further reading:
V. Patankar – Numerical Heat Transfer and Fluid Flow – 1980
D. Anderson Jr. – Computational Fluid Dyanamics: The Basics with Applications – 1995
D. G. Dritschel et al. - The moist parcel‐in‐cell method for modelling moist convection – 2018
Gretar Tryggvason – A Front-tracking/Finite-Volume Navier-Stokes Solver for Direct Numerical Simulations of Multiphase Flows – 2012
Please sign in
If you are a registered user on Laidlaw Scholars Network, please sign in